ArrayList
ArrayList는 List 인터페이스를 구현하기 때문에 데이터의 저장순서가 유지되고 중복을 허용한다는 특징을 갖는다.
ArrayList는 Object배열을 이용해서 데이터를 순차적으로 저장한다. Object 배열을 이용하기 때문에 모든 종류의 객체를 담을 수 있다.
1) 데이터 추가
- boolean add(E e) : 리스트의 끝에 데이터 e를 추가합니다.
- void add(int index, E element) : index의 위치에 데이터 element를 추가합니다.
- boolean addAll(Collection<? extends E> c) : 리스트의 끝에 컬렉션 c의 모든 데이터를 추가합니다.
- boolean addAll(int index, Collection<? extends E> c) : index의 위치에 컬렉션 c의 모든 데이터를 추가합니다.
2) 데이터 삭제
- void clear( ) : 리스트의 모든 데이터를 삭제합니다.
- E remove(int index) : index의 위치에 있는 데이터를 삭제합니다.
- boolean remove(Object o) : 리스트에서 Object o와 처음 일치하는 데이터를 삭제합니다.
- boolean removeAll(Collection<?> c) : 리스트에서 컬렉션 c와 일치하는 모든 데이터를 삭제합니다.
- boolean retainAll(Collection<?> c) : 리스트에서 컬렉션 c와 일치하는 데이터만 남기로 나머지는 삭제합니다.
3) 데이터 확인
- int size( ) : 리스트의 데이터 개수를 반환합니다.
- boolean isEmpty( ) : 리스트가 비어있는지 여부를 반환합니다. (비어있을 경우 true)
- boolean contains(Object o) : 리스트에 Object o가 포함되어 있는지 여부를 반환합니다. (포함된 경우 true)
- int indexOf(Obejct o) : 리스트에서 Object o와 처음 일치하는 데이터의 index 정보를 반환합니다. (없을경우 -1 반환)
- int lastIndexOf(Obejct o) : 리스트에서 Object o와 마지막으로 일치하는 데이터의 index 정보를 반환합니다. (없을경우 -1 반환)
4) 데이터 반환
- E get(int index) : 리스트에서 index의 위치에 있는 데이터를 반환합니다.
- Object[ ] toArray( ) : 리스트의 모든 데이터가 포함된 Object 배열을 반환합니다.
- <T> T[ ] toArray(T[ ] a) : 리스트의 모든 데이터를 배열 a에 담은 후 배열 a를 반환합니다.
5) 데이터 변경
- E set(int index, E element) : index의 위치에 있는 데이터를 element로 변경합니다.
6) 기타
- void trimToSize( ) : 리스트의 현재 size로 capacity를 조절합니다.
출처: https://kadosholy.tistory.com/118
import java.util.*;
class ArrayListEx1{
public static void main(String[] args){
ArrayList list1 = new ArrayList(10);
list1.add(new Integer(5));
list1.add(new Integer(4));
list1.add(new Integer(2));
list1.add(new Integer(0));
list1.add(new Integer(1));
list1.add(new Integer(3));
ArrayList list2 = new ArrayList(list1.subList(1,4));
print(list1,list2);
// 출력 :
// list1:[5, 4, 2, 0, 1, 3]
// list2:[4, 2, 0]
Collection.sort(list1); // list1과 list2를 정렬한다.
Collection.sort(list2);
print(list1, list2);
// 출력 :
// list1:[0, 1, 2, 3, 4, 5]
// list2:[0, 2, 4]
System.out.println("list1.containAll(list2) : " + list1.containsAll(list2));
// 출력 :
// list1.containAll(list2) : true
list2.add("B");
list2.add("C");
list2.add("A");
print(list1,list2);
// 출력 :
// list1:[0, 1, 2, 3, 4, 5]
// list2:[0, 2, 4, A, B, C]
list2.set(3, "AA");
print(list1, list2);
// 출력 :
// list1:[0, 1, 2, 3, 4, 5]
// list2:[0, 2, 4, AA, B, C]
// list1에서 list2와 겹치는 부분만 남기고 나머지는 삭제한다.
System.out.println("list1.retainAll(list2) : "+list.retainAll(list2));
print(list1,list2);
// 출력 :
// list1.retainAll(list2) : true
// list1:[0, 2, 4]
// list2:[0, 2, 4, AA, B, C]
// list2에서 list1에 포함된 객체들을 삭제한다.
for(int i=list2.size()-1;i>=0;i--){
if(list1.contains(list2.get(i)))
list2.remove(i);
}
print(list1,list2);
// 출력 :
// list1:[0, 2, 4]
// list2:[AA, B, C]
}
static void print(ArrayList list1, ArrayList list2){
System.out.println("list1:"+list1);
System.out.println("list2:"+list2);
System.out.println();
}
}
import java.util.*;
class ArrayListEx2{
public static void main(String[] args){
final int LIMIT = 10; // 자르고자 하는 글자의 개수를 지정한다.
String source = "1234567890abcdefghijABCDEFGHIJ!@#$%^&*()zzz";
int length = source.length();
List list = new ArrayList(length/LIMIT + 10); // 크기를 여유롭게 잡는다.
for(int i=0;i<length;i+=LIMIT){
if(i+LIMIT < length)
list.add(source.substring(i,i+LIMIT));
else
list.add(source.substring(i));
}
for(int i=0; i<list.size();i++){
System.out.println(list.get(i));
// 출력 :
// 1234567890
// abcdefghij
// ABCDEFGHIJ
// !@#$%^&*()
// zzz
}
}
}
LinkedList
배열은 데이터를 읽어 오는데 걸리는 시간(접근시간)이 가장 빠르다는 장점을 가지고 있지만 다음과 같은 단점이 있다.
1. 크기를 변경할 수 없다.
2. 비순차적인 데이터의 추가 또는 삭제에 많은 시간이 소요된다.
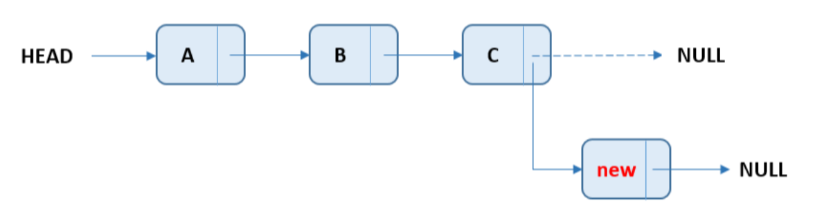
이러한 단점을 보안하기 위해서 LinkedList라는 자료구조가 고안되었다. 배열은 모든 데이터가 연속적으로 존재하지만 LinkedList는 불연속적으로 존재하는 데이터를 서로 연결한 형태로 구성되어 있다.

위 그림처럼 LinkedList의 각 Node들은 요소에 대한 참조(주소값)와 데이터로 구성되어 있다.
class{
Node next; // 다음 요소의 주소를 저장
Object obj // 데이터를 저장
}
LinkedList는 이동방향이 단방향이기 때문에 다음 요소에 대한 접근은 쉽지만 이전요소에 대한 접근은 어렵다. 이 점을 보완한 것이 doubly linked list 이다.

class{
Node next; // 다음 요소의 주소를 저장
Node prev; // 이전 요소의 주소를 저장
Object obj; // 데이터를 저장
}
doubly-linked list보다 접근성이 개선된 것이 doubly-circular linked list이다. 단순히 doulby-linked list의 첫 번째 요소와 마지막 요소를 서로 연결시킨 것이다. 이러한 구조는 TV 채널을 순회하거나 오디오 플레이어같이 데이터를 순차적으로 처리하다 마지막 요소를 만나면 다시 처음으로 돌아가는 어플리케이션에서 사용된다.

객체생성
LinkedList<Integer> list = new LinkedList<>();
LinkedList<Integer> list2 = new LinkedList<Integer>(Arrays.asList(1,2)); // 생성시 초기값 설정
LinkedList의 선언은 ArrayList와 동일하지만 ArrayList처럼 초기값을 미리 지정하지 못한다. 배열처럼 미리 공간을 할당하고 사용하는 방식이 아니라 데이터가 추가될 때마다 노드들이 생성되어 동적으로 추가되기 때문이다.
요소추가 / 삽입
LinkedList<String> list = new LinkedList<>(Arrays.asList("A","B","C"));
list.addFirst("new"); // 가장 앞에 데이터 추가

LinkedList<String> list = new LinkedList<>(Arrays.asList("A,B,C"));
list.addLast("new"); // 가장 뒤에 데이터 추가

LinkedList<String> list = new LinkedList<>(Arrays.asList("A","B","C"));
list.add(1,"new"); // index 1 위치에 new 추가

객체 삭제
LinkedList list = new LinkedList<>(Arrays.asList("A","B","C"));
list.removeFirse(); // 첫번째 값 제거
list.removeLast(); // 마지막 값 제거
list.remove(1); // index값 제거
요소 검색
LinkedList<String> list1 = new LinkedList<>(Arrays.asList("A","B","C"));
LinkedList<String> list2 = new LinkedList<>();
list2.add("A");
list2.add("B");
list2.add("C");
list1.indexOf("B") // 1 앞에서부터 검색
list1.lastIndexOf("D") // -1 뒤에서부터 검색
list1.containsAll(list2) // list1에 list2의 모든노드가 포함되어 있는지 확인
요소 순회
LinkedList<String> list = new LinkedList<>(Arrays.asList("A","B","C"));
for(Sting s : list){
System.out.println(s);
}
Iterator it = list.iterator();
while(it.hasNext()){
Stirng s = it.next();
System.out.println(s);
}
ListIterator it = list.listIterator();
while(it.hasNext()){
System.out.println(it.next());
}
while(it.hasPrevious()){
System.out.println(it.previous());
}
Iterator는 Collection 인터페이스를 구현한 컬렉션에서 모두 사용할 수 있는 반면, ListIterator는 오로지 List 컬렉션에서만 사용 가능하다.
ListIterator는 Iterator 인터페이스를 상속받아 여러 기능을 추가한 인터페이스로서 Iterator는 요소에 접근할 때 단방향만 가능한 반면, ListIterator는 양방향으로 이동이 가능하다.
LinkedList 동기화 처리
멀티 쓰레드 환경에서 동시에 컬렉션에 접근하여 문제가 발생하는 것을 막기 위해 동기화 처리된 리스를 반환받아 사용할 수 있다.
list<String> list1 = Collections.synchronizedList(new ArrayList<>());
list<String> list2 = Collections.synchronizedList(new LinkedList<>());'기초 문법 알아보기 Java' 카테고리의 다른 글
| 컬렉션 프레임웍 Collection Framework : Iterator, ListIterator, Enumeration (0) | 2024.04.10 |
|---|---|
| 컬렉션 프레임웍 Collection Framework : Stack, Queue (0) | 2024.04.06 |
| 컬렉션 프레임웍 Collection Framework : 핵심 인터페이스 (0) | 2024.04.05 |
| 예외처리 Exception handling : 예외의 발생과 catch블럭 (0) | 2024.03.27 |
| 예외처리 Exception handling : 예외 클래스의 계층구조 (0) | 2024.03.23 |